Tecnica del Nuoto.
Clicca qui
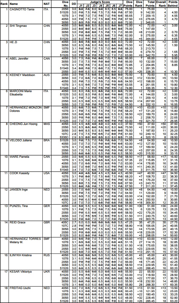
Continua la serie positiva di pass olimpici per la nazionale italiana, con Maria Marconi sesta nell'eliminatoria da 3 metri che conquista il secondo biglietto per le donne con autorità. Nella stessa gara, grande prestazione di Tania Cagnotto, già certa delle Olimpiadi dallo scorsa estate grazie alla sua vittoria agli Europei, che si aggiudica la gara con un punteggio stellare.
Tutto estremamente facile per Tania, che non è mai stata distante dal primo posto per più di cinque punti e che ha eseguito una serie gara di estrema regolarità: 66.65 il triplo e mezzo avanti, 67.50 l'avvitamento e il ritornato, addirittura 75 il doppio e mezzo indietro e 72 il rovesciato con cui ha concluso la gara da oltre 348 punti, davanti alle cinesi.
Percorso più o meno simile per Maria, che ha iniziato con 72 punti sul doppio e mezzo ritornato e sull'avvitamento, 65 sul triplo e mezzo avanti, perdendo un po' dalle "prime della classe" solo sul doppio e mezzo indietro che ha comunque fruttato 58.50 punti. Una formalità il rovesciato finale da 64.50, che la posiziona appunto al sesto posto.
Nel gruppetto di testa, oltre alle due italiane e alle immancabili cinesi, l'elegante He Zi e la potente Shi Tingmao, si sono ritrovate anche due delle solite avversarie per il podio: la canadese Jennifer Abel, che ha eseguito un doppio e mezzo con due avvitamenti "da urlo" (76.50!), e l'australiana Maddison Keeney, che ha finalmente trovato stabilità e regolarità e che, possedendo a sua volta nel proprio arsenale il doppio-con-doppio (anche per lei punteggi altissimi, 74.80), diventa una temibile rivale in vista delle Olimpiadi.
Per il momento, però, è presto pensare al ritorno a Rio: ci limitiamo a festeggiare il secondo pass olimpico per l'Italia per la specialità dei 3 metri donne, ottenuto da Maria Marconi!
