Tecnica del Nuoto.
Clicca qui
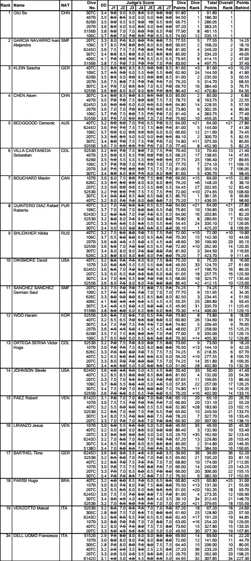
Non riesce a Francesco Dell'Uomo e Maicol Verzotto di passare il turno nell'eliminatoria dalla piattaforma, ultimo preliminare di questa Coppa del Mondo ad assegnare i pass olimpici per Rio 2016.
Un'occasione persa visto che i punteggi per il passaggio in finale - poco meno di 380 punti - erano ampiamente alla portata dei nostri atleti.
Dell'Uomo aveva iniziato molto bene la sua gara, con un avvitamento avanti da quasi 70 punti e un triplo e mezzo avanti da 72, ma la seconda parte della gara - dopo che a metà si era ritrovato al decimo posto e ampiamente in corsa per il passaggio del turno - è stata da dimenticare: meno di 30 punti sia per il triplo e mezzo ritornato che per quello indietro, e a qualificazione ormai compromessa non è entrato neppure il tuffo dalla verticale, con soli 45 punti. 307.85 il punteggio finale che lo classificano al 34° posto, molto al di sotto delle attese.
Qualificazione sfiorata per Verzotto, 19°: il bolzanino era piuttosto indietro dopo i primi due tuffi ma era riuscito a risalire fino al 15° posto a un tuffo dalla fine con un buon ritornato da 73.60. Tuttavia anche per lui è stato fatale il triplo e mezzo indietro, da poco meno di 50 punti: si è ritrovato così con 377.30 punti ad aspettare e sperare, purtroppo invano, che i tuffatori che prima gli erano alle spalle non lo superassero. Hugo Parisi gli ha così soffiato qualificazione alla semifinale e pass olimpico per poco più di un punto e mezzo. Per Verzotto, primo degli esclusi, c'è tuttavia la speranza di un ripescaggio in extremis dopo le convocazioni definitive, che saranno comunicate dalle rispettive nazioni in primavera inoltrata.
