Tecnica del Nuoto.
Clicca qui
Con la semifinale e la finale dalla piattaforma si conclude la Coppa del Mondo di Rio, che non ha portato medaglie per l'Italia, ma una serie di importanti soddisfazioni: innanzitutto una squadra olimpica al completo dal trampolino, con i pass individuali di Benedetti, Chiarabini, Cagnotto (già qualificata dagli Europei di Rostock) e Marconi e i due dalle gare sincro (Cagnotto-Dallapè e Chiarabini-Tocci); tutti, a parte Chiarabini, sono poi arrivati anche in finale con ottimi piazzamenti. Meno buona la situazione dalla piattaforma: Batki, comunque finalista qui a Rio, era già qualificata da agosto grazie alla sua finale mondiale, mentre Verzotto e Dell'Uomo non si sono presentati nel sincro e non sono riusciti a qualificarsi nell'individuale - anche se quest'ultimo può sperare in un ripescaggio in extremis, nel caso in cui i comitati nazionali mandassero alle Olimpiadi atleti diversi da quelli che hanno ottenuto il pass.
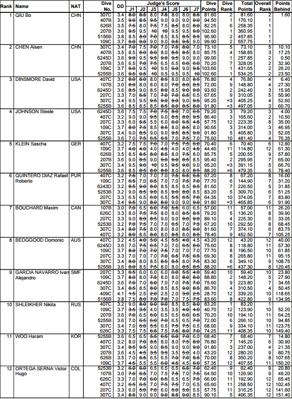
Nella semifinale mattutina, stante l'imprendibilità dei cinesi Qiu Bo e Chen Aisen, è stato il messicano Garcia, forte del suo programma ad altissimo coefficiente (doppio con doppio dalla verticale, doppio con triplo avanti, quadrupli e mezzo avanti e rovesciato!), a conquistare la terza piazza; a sorpresa anche il portoricano Quintero si è qualificato con agevolezza, così come gli americani, mentre ad andare fuori sono stati l'altro messicano Sanchez (che ha sbagliato i tuffi ad alto coefficiente), il tedesco Barthel, il colombiano Villa e i venezuelani. Il brasiliano Hugo Parisi, già pago della qualificazione ottenuta davanti al pubblico di casa, si è ritirato dopo il primo tuffo.

Andamento più o meno simile anche in finale, con la distanza tra Qiu Bo e Chen Aisen che si è ampliata a causa dei tripli e mezzo rovesciato e indietro del secondo, meno impeccabili rispetto al mattino. Dietro i cinesi c'è stata più bagarre, con il messicano Garcia che non è riuscito a ripetere l'ottimo quadruplo e mezzo ritornato ritrovandosi addirittura nono; anche il portoricano Quintero, sorpresa di questa gara, non è stato in lotta per il bronzo, che è stato una lotta a due prima tra i due americani, che si sono dimostrati i più regolari, e poi sul finale del tedesco Klein. Alla fine a spuntarla è stato il giovane David Dinsmore che, non ancora diciannovenne - ma alla sua seconda Coppa del Mondo! - conquista una pregiata medaglia di bronzo con poco meno di 500 punti.

Il medagliere vede al comando, poco sorprendentemente, la Cina con sei medaglie d'oro e quattro d'argento: i due ori sfuggiti alla "furia rossa" sono quello di Hausding e Feck nel sincro 3 metri e di Pacheco nei 3 metri. Al secondo posto del medagliere c'è proprio la Germania (un oro e un argento) sul Messico (un oro e un bronzo), mentre il Canada è quarto con un argento e un bronzo. Giamaica e Malaysia conquistano ciascuna un argento, mentre in fondo alla classifica ci sono Australia, Regno Unito e Stati Uniti con due bronzi ciascuno.
Foto: Aquece Rio